python如果图片来到了指定位置那么输出一段话

python如果控制导入的图片来到了指定位置,那么输出一段话。

啥意思?

  • 你可以看下这个问题的回答https://ask.csdn.net/questions/7768811
  • 我还给你找了一篇非常好的博客,你可以看看是否有帮助,链接:python基础编程题练习:给你一段中文,你能用python输出他的汉字个数和标点符号个数吗?
  • 同时,你还可以查看手册:python- 嵌套的列表推导式 中的内容
  • 除此之外, 这篇博客: python有向无权图遍历指定两点路径并排序输出中的 实例:python搜索图中指定两点的最短路径 部分也许能够解决你的问题, 你可以仔细阅读以下内容或跳转源博客中阅读:
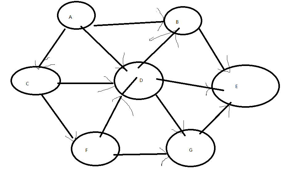
  • 实例用图:
    在这里插入图片描述
    实验效果:
    在这里插入图片描述
    实验代码:

    # -*- coding:utf-8 -*-
    
    def searchGraph(graph,start,end):
        results = []
        generatePath(graph,[start],end,results)
        results.sort(key=lambda x:len(x))
        return results
    
    def generatePath(graph,path,end,results):
        state = path[-1]
        if state == end:
            results.append(path)
        else:
            for arc in graph[state]:
                if arc not in path:
                    generatePath(graph,path + [arc],end,results)
    
    if __name__ == '__main__':
        Graph = {'A':['B','C','D'],
                 'B':['E'],
                 'C':['D','F'],
                 'D':['B','E','G'],
                 'E':[],
                 'F':['D','G'],
                 'G':['E']}
        r = searchGraph(Graph,'A','E')
    
        print('*************************')
        print(' path A to E')
        print('*************************')
    
        if not r:
            print('很遗憾,无此路径...')
        else:
            for i in r:
                print(i)
    
    
    
  • 您还可以看一下 Toby老师的python机器学习-乳腺癌细胞挖掘课程中的 如何创建python虚拟编程环境-避免项目包版本冲突(选修)小节, 巩固相关知识点
  • 以下回答由chatgpt基于相关博客总结生成:

    要实现这个功能,可以按照以下步骤进行操作:

    1. 使用Python的requests库发送HTTP请求获取网页数据。

    2. 使用xpath提取图片地址和其他相关数据。

    3. 使用requests库下载图片并保存到本地。

    4. 使用docx库创建一个Word文档。

    5. 将提取到的数据和图片添加到Word文档中。

    6. 保存Word文档。

    下面是一个参考实现:

    import requests
    from lxml import etree
    from docx import Document
    
    def check_image_position(url, image_url):
        # 获取页面数据
        response = requests.get(url)
        data = etree.HTML(response.text)
    
        # 判断图片是否位于指定位置
        img_list = data.xpath("//img/@src")
        if image_url in img_list:
            # 图片位于指定位置,输出指定的文本
            print("图片位于指定位置")
            # 创建文档文件
            document = Document()
            document.add_heading('指定文本', level=1)
            document.save('output.docx')
        else:
            print("图片不位于指定位置")
    
    check_image_position("https://www.example.com", "https://www.example.com/image.jpg")
    

    请注意,上述代码仅为示例,请根据实际情况对其进行修改和调整。另外,需确保已安装好所需的库(requests,lxml,docx)。