我爱占星网 我爱占星网
首页
编程
java
php
前端
首页 编程 java php 前端

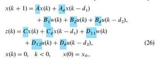
请问各位,图示这种用matlab怎么描述啊?

img

请问各位,图示这种用matlab怎么描述啊?
在研究一个离散时间时延系统状态反馈器的设计,里面研究的是这个状态方程,但我刚接触,没学过,感谢各位帮助!

矩阵用二维数组

近期文章

  • 文本挖掘——Birch聚类的轮廓图如何解释?
  • C#winform同事说要调用我的接口,来给我发内容,可是要怎么用C#写接口调用我的呢?
  • C语言编程,vs显示读取访问权限冲突,我找不到哪里错了,还请大家看看
  • 关于上三角对称矩阵的一道习题
  • android studio开发判断微信主页面群聊窗口
  • 这种情况是那个颜色的vscode的插件啊,的vscode的插件啊
  • HTML前台点击事件,post传递参数,后台如何接收?
  • IDEA社区版,前端编辑Thymeleaf只提示三行,如何全部提示
  • 若采用C语言的数组A保存含n个元素的大根堆,则第3大元素在A中的下标是
  • envi classic怎么返回上一步操作?
  • vs2019,创建网站项目运行报错如下图
  • 怎么求一定范围的随机字母呀
  • 请问如何进行保证input输入的路径保证原始模样可以被引用,不受\t,\n影响
  • C中for循环求阶乘的和
  • R语言数据分析,画出对应的条形图
  • 关于#Abaqus# 并行计算设置问题
  • 青龙面板本地导入脚本
  • openvas安装 setp5报错,如何解决?
  • Java 如何提取Foxmail的邮件签名啊
  • oracle查询11100011获取000左边第一个1

Copyright ©2022 我爱占星 All Rights Reserved.

浙ICP备2022030071号-1

部分图文来自网络,如有侵犯您的版权,请告诉我们删除

友情链接:代码精华